Intersection of Two Linked Lists
Ikkita bog'langan ro'yxatninig boshlari headA
va headB
berilgan, ikkita ro'yxat kesishgan tugunni qaytaring. Agar ikkita bog'langan ro'yxatning kesishishi bo'lmasa, nullni
qaytaring.
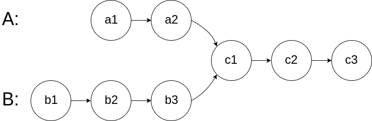
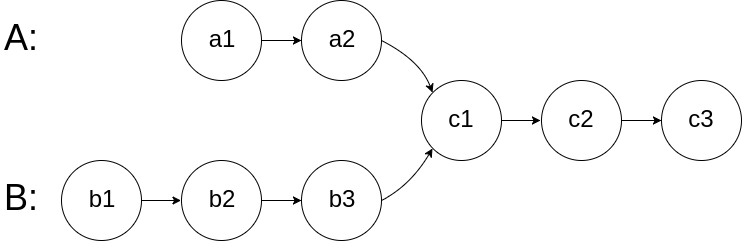
Masalan, quyidagi ikkita bog'langan ro'yxat c1
tugunida kesishishni boshlaydi:

Sinov holatlari shunday yaratilganki, butun bog'langan tuzilmaning hech bir joyida tsikllar bo'lmaydi.
E'tibor bering, bog'langan ro'yxatlar funktsiya qaytgandan keyin asl tuzilishini saqlab qolishlari kerak.
Maxsus hakam: Sudyaga kiritilgan ma'lumotlar quyidagicha beriladi (dasturingizga ushbu ma'lumotlar berilmagan):
intersectVal
- kesishish sodir bo'lgan tugunning qiymati. Agar kesishgan tugun bo'lmasa, bu0
ga teng.listA
- birinchi bog'langan ro'yxat.listB
- ikkinchi bog'langan ro'yxat.skipA
- kesishgan tugunga o'tish uchunA
ro'yxatida oldinga o'tish uchun tugunlar soni (boshdan boshlab).skipB
- kesishgan tugunga o'tish uchunB
ro'yxatida oldinga o'tish uchun tugunlar soni (boshdan boshlab). Keyin sudya ushbu ma'lumotlar asosida bog'langan tuzilmani yaratadi va ikkita boshni,headA
vaheadB
ni dasturingizga uzatadi. Agar siz kesishgan tugunni to'g'ri qaytarsangiz, sizning yechimingizqabul qilinadi
.
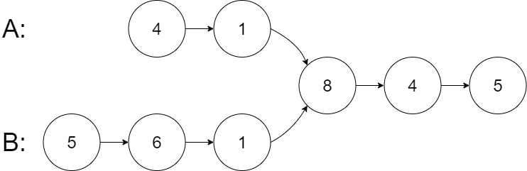
Example 1:

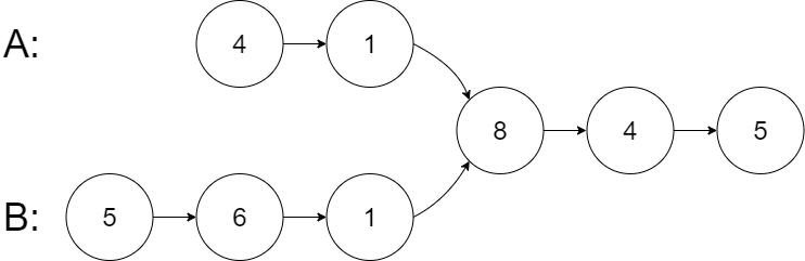
Input: intersectVal = 8, listA = [4,1,8,4,5], listB = [5,6,1,8,4,5], skipA = 2, skipB = 3 Output:
8
da kesishgan Explanation: Kesilgan tugunning qiymati 8 ga teng (ikkita ro'yxat kesishsa, bu 0 bo'lmasligi kerakligiga e'tibor bering). A ning boshidan [4,1,8,4,5] deb o'qiladi. B ning boshidan [5,6,1,8,4,5] deb o'qiladi. A da kesishgan tugundan oldin 2 ta tugun mavjud; B ning kesishgan tugunidan oldin 3 ta tugun mavjud. E'tibor bering, kesishgan tugunning qiymati 1 emas, chunki A va B da 1 qiymatiga ega bo'lgan tugunlar (A va B dagi 3-tugun) turli tugun havolalari hisoblanadi. Boshqacha qilib aytganda, ular xotiradagi ikki xil joyni ko'rsatadi, A va B da 8 qiymatiga ega bo'lgan tugunlar (Ada 3-tugun va Bda 4-tugun) xotiradagi bir xil joyni ko'rsatadi.
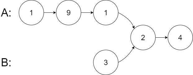
Example 2:

Input: intersectVal = 2, listA = [1,9,1,2,4], listB = [3,2,4], skipA = 3, skipB = 1 Output:
2
da kesishgan Explanation: Kesilgan tugunning qiymati 2 ga teng (ikkita ro'yxat kesishsa, bu 0 bo'lmasligi kerakligiga e'tibor bering). A ning boshidan [1,9,1,2,4] deb o'qiladi. B ning boshidan [3,2,4] deb o'qiladi. A da kesishgan tugun oldidan 3 ta tugun bor; B ning kesishgan tugunidan oldin 1 ta tugun mavjud.
Example 3:

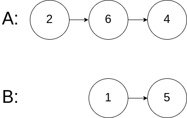
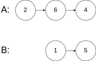
Input: intersectVal = 0, listA = [2,6,4], listB = [1,5], skipA = 3, skipB = 2 Output: Kesishmagan Explanation: A ning boshidan [2,6,4] deb o'qiladi. B ning boshidan [1,5] deb o'qiladi. Ikkala ro'yxat kesishmaganligi sababli, intersectVal 0 bo'lishi kerak, skipA va skipB esa ixtiyoriy qiymatlar bo'lishi mumkin. Izoh: Ikki ro'yxat kesishmaydi, shuning uchun nullni qaytaring.
Constraints:
A
ro'yxatidagi tugunlar sonim
da.B
ro'yxatidagi tugunlar sonin
da.1 <= m, n <= 3 * 104
1 <= Node.val <= 105
0 <= skipA < m
0 <= skipB < n
A
vaB
ro'yxatlar kesishmasaintersectVal
0
.A
vaB
ro'yxatlar kesishsaintersectVal == listA[skipA] == listB[skipB]
Follow up: O (m + n)
vaqtida ishlaydigan va faqat O (1)
xotiradan foydalanadigan yechim yoza olasizmi?
My Solutions
/**
* Definition for singly-linked list.
* type ListNode struct {
* Val int
* Next *ListNode
* }
*/
func getIntersectionNode(headA, headB *ListNode) *ListNode {
listMap := make(map[*ListNode]struct{}, 0)
curr := headA
for curr != nil {
listMap[curr] = struct{}{}
curr = curr.Next
}
curr = headB
for curr != nil {
if _, ok := listMap[curr]; ok {
return curr
}
curr = curr.Next
}
return nil
}
/**
* Definition for singly-linked list.
* type ListNode struct {
* Val int
* Next *ListNode
* }
*/
func getIntersectionNode(headA, headB *ListNode) *ListNode {
nodeA, nodeB := headA, headB
for nodeA != nodeB {
nodeA = nodeA.Next
nodeB = nodeB.Next
if nodeA == nil && nodeB != nil {
nodeA = headB
} else if nodeA != nil && nodeB == nil {
nodeB = headA
}
}
return nodeA
}
© Leetcode link
Last updated
Was this helpful?