Remove Nth Node From End of List
Bog'langan ro'yxatning head
i berilgan, ro'yxat oxiridan n-tugunni
olib tashlang va head
ni qaytaring.
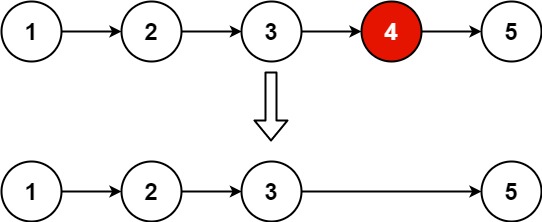
Example 1:

Input: head = [1,2,3,4,5], n = 2 Output: [1,2,3,5]
Example 2:
Input: head = [1], n = 1 Output: []
Example 3:
Input: head = [1,2], n = 1 Output: [1]
Constraints:
Ro'yxatdagi tugunlar soni
sz
.1 <= sz <= 30
0 <= Node.val <= 100
1 <= n <= sz
Follow up: Buni bir o'tishda amalga oshira olasizmi?
My Solution
/**
* Definition for singly-linked list.
* type ListNode struct {
* Val int
* Next *ListNode
* }
*/
func removeNthFromEnd(head *ListNode, n int) *ListNode {
dummy := &ListNode{Next:head}
l, r := dummy, head
for n > 0 && r != nil {
r = r.Next
n--
}
for r != nil {
r = r.Next
l = l.Next
}
l.Next = l.Next.Next
return dummy.Next
}
© Leetcode link
Last updated
Was this helpful?