206. Reverse Linked List
🟩 Easy
Given the head
of a singly linked list, reverse the list, and return the reversed list.
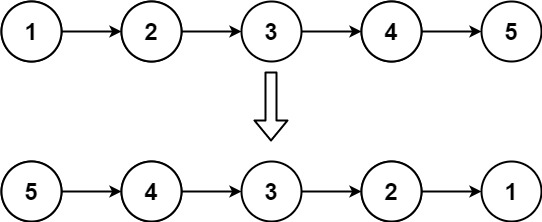
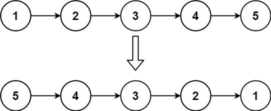
Example 1

Input: head = [1,2,3,4,5] Output: [5,4,3,2,1]
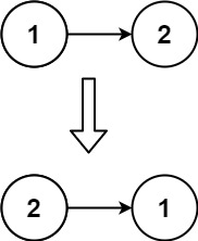
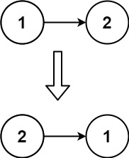
Example 2

Input: head = [1,2] Output: [2,1]
Example 3
Input: head = [] Output: []
Constraints
The number of nodes in the list is the range
[0, 5000]
.-5000 <= Node.val <= 5000
Follow up: A linked list can be reversed either iteratively or recursively. Could you implement both?
Solution
My Solution (Iterative)
/**
* Definition for singly-linked list.
* type ListNode struct {
* Val int
* Next *ListNode
* }
*/
func reverseList(head *ListNode) *ListNode {
var (
prev, curr, next *ListNode
)
curr = head
for curr != nil {
next = curr.Next
curr.Next = prev
prev = curr
curr = next
}
return prev
}
Optimal Solution (Recursive)
func reverseList(head *ListNode) *ListNode {
// Base case: empty list or single node
if head == nil || head.Next == nil {
return head
}
// Recursively reverse the rest of the list
rest := reverseList(head.Next)
// Fix the connections
head.Next.Next = head
head.Next = nil
return rest
}
Approach Analysis
This classic problem can be solved in two main ways:
Iterative Approach (Your Solution):
Uses three pointers for explicit control
Reverses links one by one
Very space efficient
Great for interviews
Recursive Approach (Optimal):
Elegant divide-and-conquer
Reverses from back to front
More mathematical
Cleaner code
Visualization of Both Approaches
Iterative Process
Initial: 1 -> 2 -> 3 -> 4 -> 5
Step 1: nil <- 1 2 -> 3 -> 4 -> 5
Step 2: nil <- 1 <- 2 3 -> 4 -> 5
Final: nil <- 1 <- 2 <- 3 <- 4 <- 5
Recursive Process
Initial Call Stack:
reverseList(1->2->3->4->5)
reverseList(2->3->4->5)
reverseList(3->4->5)
reverseList(4->5)
reverseList(5)
return 5
Unwinding:
5 is new head
4->5->4 becomes 5->4
3->4 becomes 4->3
2->3 becomes 3->2
1->2 becomes 2->1
Complexity Analysis
Iterative Solution
Time: O(n)
Single pass through list
Constant work per node
No repeated work
Space: O(1)
Only three pointers
Constant extra space
True in-place reversal
Recursive Solution
Time: O(n)
Visits each node once
Constant work per node
Same as iterative
Space: O(n)
Recursive call stack
One frame per node
Not truly in-place
Why Both Solutions Work
Iterative Approach:
Maintains clear invariants
Never loses track of nodes
Very mechanical process
Easy to visualize
Recursive Approach:
Assumes subproblem solved
Works backwards elegantly
More mathematical thinking
Cleaner implementation
When to Use Each
Choose Iterative When:
Memory is constrained
Large input expected
Maximum performance needed
Interview setting
Choose Recursive When:
Code clarity priority
Small to medium input
Teaching/learning
Quick implementation needed
Common Patterns & Applications
Similar Problems:
Reverse Linked List II
Palindrome Linked List
Swap Nodes in Pairs
Key Techniques:
Multiple pointer manipulation
Recursion on linked structure
Link reversal
Stack usage (implicit/explicit)
Interview Tips
Discuss Both Approaches:
Mention space trade-offs
Explain time complexity
Discuss pros and cons
Show knowledge depth
Common Pitfalls:
Not saving next pointer
Stack overflow in recursion
Infinite loops
Lost references
Testing Strategy:
Empty list
Single node
Two nodes
General case
Check all links

Leetcode: link
Last updated
Was this helpful?